市场服务热线
0574-88350052
背景
脂多糖(lipopolysaccharide,LPS),又称内毒素,为革兰氏阴性菌细胞壁外壁的组成成分,可作用于膜受体激活多种细胞(巨噬细胞、上皮细胞、内皮细胞等)信号转导系统,促进促炎细胞因子和其他炎性介质的合成及释放,引发炎症反应。客户采用LPS诱导RAW264.7巨噬细胞建立体外炎症模型,使用超声波细胞粉碎机将蛋白及核酸从炎症细胞中分离出来,从基因、蛋白相对表达水平方面评估羊栖菜多酚(Hizikia fusiformis polyphenols,HFPs)的抗炎活性,为其在新型抑炎制剂的开发利用提供理论依据。
材料与方法
1.1⽺栖菜多酚的制备
取⼲燥⽺栖菜粉末,加⼊体积分数60%⼄醇溶液,使⽤SCIENTZ-IID超声辅助浸提(料液⽐1∶20(m/V)、50 ℃、60 min),抽滤后真空减压蒸馏去除⼄醇,获⽺栖菜粗多酚溶液,依次采⽤等体积⽯油醚、⼄酸⼄酯分级萃取,真空减压蒸馏后冻⼲(使⽤SCIENTZ-12N过夜冻⼲),获得HFPs粉末。测得HFPs粉末总酚含量为23.67±0.24 mg/g。利⽤⽆菌⽔配制成多酚⺟液,再以细胞培养液稀释⾄不同浓度,⽤于后续实验。
1.2 炎症细胞培养
使⽤完全培养基(含10%(体积分数,下同)胎⽜⾎清和1%⻘链霉素双抗DMEM培养基)培养RAW264.7细胞,37 ℃、5% CO2培养,细胞融合度约80%时进⾏传代。然后分成3组进⾏培养:①阴性对照组,仅加⼊含10%胎⽜⾎清的DMEM培养基;②LPS阳性对照组,加⼊含LPS(1μg/mL)和10%胎⽜⾎清的DMEM培养基刺激24 h;③HFPs+LPS组,经含不同质量浓度(10、20、40、60、80、100、120、140、160、180、200、250、300、350 μg/mL)HFPs和10%胎⽜⾎清的DMEM培养基培养24 h后,以含LPS(1 μg/mL)和10%胎⽜⾎清的DMEM培养基刺激24h。
1.3 RAW264.7细胞炎症相关基因相对表达量的测定
1.2中培养的三组细胞培养结束后弃去培养液,⽤0.01 mol/L、pH 7.2的磷酸盐缓冲液(phosphate buffered saline,PBS)清洗细胞2 次,每孔加⼊500 μL TRIzol试剂,使⽤SCIENTZ-IID加速破碎细胞协助提取总RNA,超声参数为:100 W,1 s 开1 s关,共1 min,并将RNA逆转录为cDNA。以cDNA为模板,采⽤SYBR Green嵌合荧光法与引物进⾏实时荧光定量PCR。测定⽬的基因(IL-1β、IL-6、TNF-α、COX-2、iNOS)和内参基因次⻩嘌呤磷酸核糖基转移酶1(hypoxanthine-guanine phosphoribosyl transferase,hprt1)Ct值,采⽤2-ΔΔCt法计算⽬的基因的相对表达量。
1.4 MAPKs、NF-κB信号通路关键蛋⽩相对表达量测定
1.2中培养的三组细胞培养结束后弃去培养液,⽤0.01 mol/L、pH 7.2的磷酸盐缓冲液(phosphate buffered saline,PBS)清洗细胞2 次,加⼊200 μL RIPA细胞裂解液,使⽤SCIENTZ-IID加速破碎细胞协助提取蛋⽩质,超声参数为:100 W,1 s 开1 s关,共1 min,离⼼(12000 r/min、4 ℃)10 min取上清液。采⽤BCA蛋⽩质量浓度测定试剂盒测定各组蛋⽩浓度,⽤蛋⽩上样缓冲液调整蛋⽩质量浓度为2 mg/mL,95 ℃加热10 min使蛋⽩变性然后进⾏⼗⼆烷基硫酸钠-聚丙烯酰胺凝㬵电泳分离;湿转到聚偏⼆氟⼄烯膜;5%(质量分数)脱脂奶粉(TBST溶液配制)封闭1 h;⼀抗4 ℃孵育12 h;⼆抗室温孵育2 h;加⼊ECL试剂进⾏显⾊反应,测定蛋⽩条带灰度值。以β-actin为内参,⽬的蛋⽩包括iNOS、p65、p-p65、p38、p-p38、JNK和pJNK,分别以p-p38/p38、p-JNK/JNK、p-p65/p65表⽰相应蛋⽩磷酸化⽔平。
结果与分析
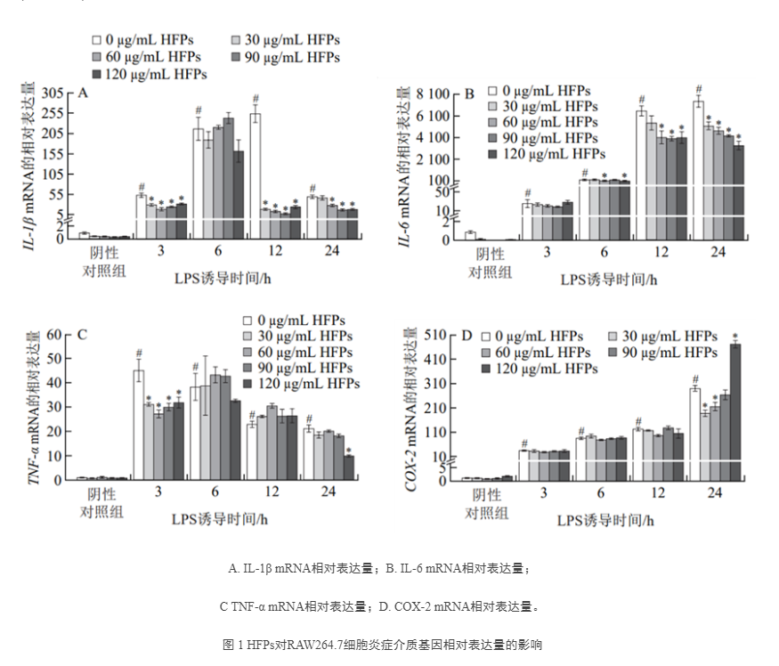
01.RAW264.7细胞炎症相关基因相对表达量的测定结果
采⽤实时荧光定量PCR测定HFPs对LPS诱导的巨噬细胞中重要促炎细胞因⼦IL-1β、IL-6和接触式超声在胞内蛋⽩及核酸提取过程中的应⽤TNF-α基因相对表达量,以及炎症相关酶COX-2基因相对表达量的影响。如图1所⽰,LPS刺激不同时间后,所有炎症介质的mRNA表达⽔平均显著提⾼(P<0.05)。HFPs对促炎细胞因⼦的抑制作⽤与其剂量、LPS诱导时间及细胞因⼦种类相关。与LPS组相⽐,静息状态细胞经HFPs处理再经LPS诱导12、24 h后,IL-1β和IL-6的基因相对表达量显著下降;HFPs显著抑制LPS诱导3 h后TNF-α基因的相对表达,⽽在LPS诱导6〜24 h的抑制作⽤总体不明显。在LPS诱导24 h,较低剂量HFPs(30、60 μg/mL)预处理对COX-2基因表达具有显著抑制作⽤,但提⾼剂量后该抑制效果消失,甚⾄出现反向促进作⽤,120 μg/mL HFPs预处理促使COX-2相对表达量较LPS组显著上升(P<0.05)。

02.MAPKs、NF-κB信号通路关键蛋⽩相对表达量测定结果
采⽤蛋⽩免疫印迹法测定巨噬细胞中MAPKs和NF-κB信号通路关键蛋⽩的磷酸化⽔平。如图2所⽰,与阴性对照组相⽐,LPS刺激3 h后细胞中p38、JNK和p65蛋⽩的磷酸化⽔平显著升⾼(P<0.05)。90、120 μg/mL HFPs预处理对LPS诱导的巨噬细胞中p38和p65的磷酸化产⽣显著抑制作⽤(P<0.05),且呈⼀定的剂量依赖性,但对JNK的磷酸化没有显著影响,表明HFPs的抗炎作⽤可能与其靶向作⽤于p38 MAPK和NF-κB p65有关。

总结
客户采⽤LPS诱导RAW264.7巨噬细胞建⽴体外炎症模型,使⽤超声波细胞粉碎机将蛋⽩及核酸从炎症细胞中分离出来,从基因、蛋⽩相对表达⽔平⽅⾯评估⽺栖菜多酚(Hizikia fusiformispolyphenols,HFPs)的抗炎活性,为其在新型抑炎制剂的开发利⽤提供理论依据。超声波细胞粉碎机在整个实验中起到作⽤如下:
1. 辅助提取⽺栖菜中多酚组分,加速多酚组分释放,缩短了提取进程,后续通过冻⼲步骤即可获得⽺栖菜多酚粉末,溶解后备⽤;
2. 搭配TRIzol试剂对细胞中总RNA进⾏提取,试剂中含有苯酚,可加速细胞破碎和核酸释放,还加⼊核酸酶抑制物质防⽌RNA降解,PCR结果表明提取的RNA浓度与纯度较好,可⽤于相关基因表达情况的分析;
3. 搭配RIPA裂解液对细胞中的蛋⽩质进⾏提取,⼤幅减少原本冰上裂解所需时间(30 min),试剂中含有的蛋⽩酶抑制剂可防⽌蛋⽩降解,还含有磷酸酶抑制剂,防⽌蛋⽩提取后的再修饰,更好测定蛋⽩磷酸化状态。
企业抖音号
企业公众号新芝生物专业研发生产超声波细胞粉碎机、超声波清洗机和超声波细胞破碎仪等各种科研实验仪器与工业化生产设备
Copyright © 2018-2024 www.scientz.com All Rights Reserved. 网站地图 XML 旧版首页
浙ICP备12028246号-1 互联网药品信息服务资格证书:(浙)-非经营性-2018-0084
浙公网安备 33020902000538号 技术支持:和众互联